Дроби в древней Руси
На Руси дроби назывались долями, позднее «ломаными числами».
Само слово «дробь» появилось на Руси в VIII веке. Оно произошло от глагола «дробить, разделять на части». Для названия дробей наши предки использовали специальные слова.
С появлением кириллицы числа начали обозначать буквами. Чтобы отличить цифру от буквы над знаком ставили «титло» – особый символ. Идея обозначения чисел буквами пришла из Греции и выглядело это так:
Кириллическая система счисления использовалась в России до начала XVIII века, а затем заменена на систему счисления, основанную на арабских цифрах.

В соответствии с древнерусскими правилами именования дробей попробуем назвать некоторые обыкновенные дроби:
Например, дробь
можно назвать так: четь да полчеть, так как:
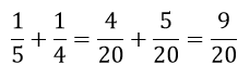
Дробь
можно назвать так: пятина да четь, так как:
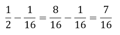
Дробь
можно назвать так: полтина без полполчети, так как:
Сошное письмо
Сошное письмо-описание земельных владений в городах и сельских местностях для поземельного обложения в России 15–17 вв. Описание земель имело важное значение, поскольку на Руси получила развитие посошная подать (единицей обложения служила соха – определенное количество земли), включавшая в себя и поземельный налог. Размер последнего зависел не только от количества земли, но и от ее качества. Для определения размера налогов служило «сошное письмо». Оно предусматривало измерение земельных площадей, в том числе застроенных дворами в городах, перевод полученных данных в условные податные единицы – сохи и расчет на этой основе налогов. Соха измерялась в четях (около 0,5 десятины).
This site was made on Tilda — a website builder that helps to create a website without any code
Create a website